课题四:气候与土地利用变化对东北黑土区土壤微生物群落影响
通过磷脂脂肪酸法分析了微生物组成,以此来研究气候和土地利用变化对东北黑土区土壤微生物群落影响。结果发现,气候变化对菌根菌、革兰氏阴性菌、放线菌和厌氧菌有显著影响;土地利用变化对菌根菌、革兰氏阴性菌、革兰氏阳性菌和放线菌有显著影响;而气候和土地利用变化对菌根菌有交互作用。这些发现表明,气候和土地利用变化对大多数土壤微生物都有显著影响,而气候和土地利用变化只对菌根菌有交互作用。我们的研究结果表明气候与土地利用变化对大部分土壤微生物都有显著影响,而气候与土地利用变化只对菌根菌有交互作用。因此,在这些变化下,凋落物分解和土壤养分循环都将加快。
表1 气候变化、土地利用变化土壤微生物的影响及其相互作用。
|
Effects |
Df |
Microorganism | |||||||
|
AM.Fungi |
Gram Negative |
Eukaryote |
Fungi |
Gram Positive |
Anaerobe |
Actinomycetes | |||
|
Climate(C) |
2 |
F |
10.789 |
11.754 |
0.647 |
1.22 |
1.920 |
5.048 |
15.937 |
|
P |
<0.001*** |
<0.001*** |
0.525 |
0.295 |
0.150 |
<0.01** |
<0.001*** | ||
|
Land use(L) |
2 |
F |
5.035 |
8.068 |
0.262 |
0.425 |
3.316 |
1.873 |
5.397 |
|
P |
<0.01** |
<0.001*** |
0.770 |
0.654 |
<0.05* |
0.157 |
<0.01** | ||
|
C×L |
4 |
F |
5.906 |
1.728 |
0.137 |
2.026 |
1.444 |
0.874 |
0.414 |
|
P |
<0.001*** |
0.147 |
0.968 |
0.0939(*) |
0.223 |
0.481 |
0.798 | ||
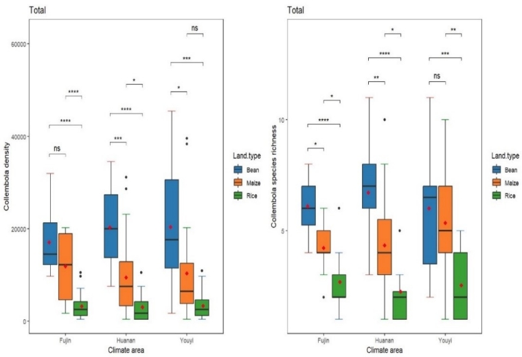
气候变化和土地利用变化对跳虫群落的密度和物种多样性都有显著影响,我们的研究结果表明土地利用变化对跳虫群落的影响更大,还表明这些变化主要通过影响真土栖跳虫来影响跳虫群落。同时在未来气候变化下,黑土区土壤深层的凋落物分解将加快,从而会降低土壤中微生物残体碳的累积。

图1气候与土地利用变化对跳虫群落的影响
附件下载:
吉公网安备22017302000214号